(p + q + r) 2 =
p2 +
q2 +
r2 +
2pq +
2pr +
2qr.
Ten wzór jest prawdziwy dla wszystkich liczb.
Wystarczy mozolnie pomnożyć (p + q + r)(p + q + r) i już.
Na rysunku obok prosta PQ dzieli trójkąt na dwie części o równych polach i obwodach.
Czy dla dowolnego trójkąta istnieje prosta dzieląca go
na dwie części o równych polach i obwodach?
Dla trójkątów osiowosymetrycznych (czyli trójkątów równoramiennych) oś symetrii oczywiście dzieli i pole, i obwód na połowy.
W trójkącie równoramiennym prostokątnym nie tylko oś symetrii dzieli obwód i pole na połowy. Na rysunku obok prosta A'C' || AC, gdzie BC' =
1/
, też jest dobra. Sprawdź!
Na rysunku obok prosta A'C' dzieli trójkąt ABC na dwie części o równych obwodach, bowiem wystarczy sprawdzić (dlaczego?), że
BA' + BC' =
(AB + AC + BC).
Porównując podstawy trójkątów, zauważamy, że
P
BA'C' =
BC'/BC .
P
BA'C
= BC'/BC . BA'/BA .
P
BAC.
Zatem prosta A'C' połowi pole, gdy
BA' . BC' =
. BA . BC
Tak jest w istocie, bo
(6-
) .
(6+
) =
62 - 6 = 30 =
. 10 . 6.
Twierdzenie 1.
W trójkącie ABC niech
a=BC, b=AC, c=AB i
a
b
c.
Niech A', C' leżą na bokach BA, BC i
Wtedy prosta A'C' dzieli pole i obwód trójkąta ABC na połowy.
Dowód
* Nietrudno sprawdza się, że prosta A'C' dzieli obwód trójkąta ABC na połowy:
* Prosta A'C' dzieli pole trójkąta ABC na połowy, bo widać, że a'c' =
. ac, bowiem
To nie koniec dowodu. Trzeba jeszcze sprawdzić kilka nierówności.
* Wyrażenie pod pierwiastkiem jest nieujemne, bo
* a'
a, bo
* c'
c, bo
* 0
c', bo
* 0
a', bo
Uwaga 1
Przy założeniach jak w twierdzeniu 1 można pokazać, że
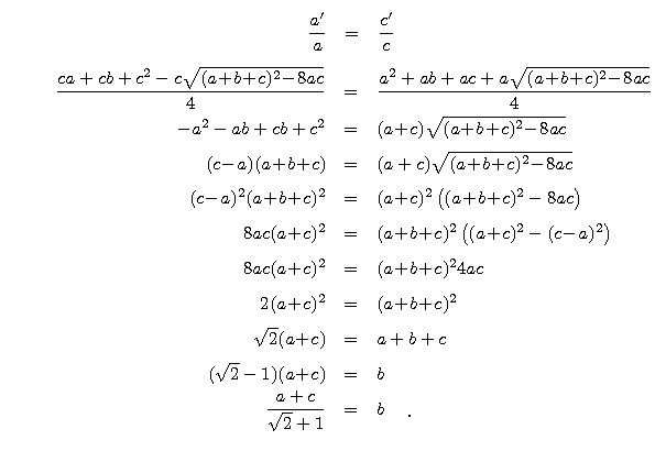
A'C' || AC wtedy i tylko wtedy, gdy b = (
-1)(a+c),
bowiem
Uwaga 2
Czy dla figury obok istnieje prosta, która dzieli jej pole i obwód na połowy?
To zadanie jest beznadziejne rachunkowo, tzn. wyznaczenie takiej prostej wzorem jest niemożliwe.
Jednak można łatwo uzasadnić istnienie takiej prostej.
Uwaga 3
W tekstach:
Wszystkie połowiące pole trójkąta,
Wszystkie połowiące obwód trójkąta,
Połowiące trójkąta w zadaniach
badaliśmy oddzielnie obie własności połowienia. Zajrzyj tam koniecznie.










Zagadki
Nieźle się przy tym nagłowiłem :)
Dzień dobry, skąd
Dzień dobry, skąd właściwie wzięły się równości:
a' = (a+b+c - √(a+b+c)^2 - 8ac)/4
c' = (a+b+c + √(a+b+c)^2 - 8ac)/4